Solved
partial derivatives of more than 2 variables
Hi,
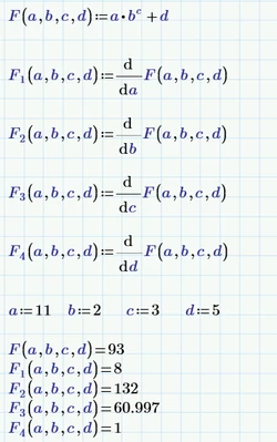
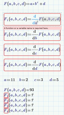
I cannot take the partial derivatives of a function with 4 variables.
Taking partial derivatives seems to be limited to just functions with two variables.
Please help.
Thank you very much.
Alfred Leick
I cannot take the partial derivatives of a function with 4 variables.
Taking partial derivatives seems to be limited to just functions with two variables.
Please help.
Thank you very much.
Alfred Leick

