Skip to main content
16-Pearl
July 1, 2022

Mathcad Community Challenge July 2022 - Area of a Spherical Triangle

  • July 1, 2022
  • 11 replies
  • 21473 views

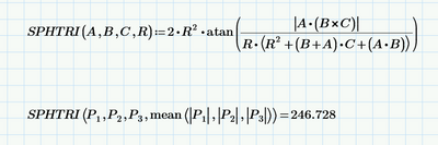
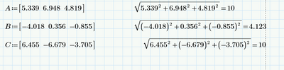
This month's challenge is another geometry-based challenge - but it's non-Euclidean geometry. Given the following three points on a circle of radius 10 units, calculate the area of the spherical triangle:

(5.339, 6.948, 4.819)

(-4.018, -3.703, 8.375)

(6.455, -6.679, -3.705)

(Note that the point coordinates are rounded to three decimal places.)

 

Optional:

  • Can you write a program or function that calculates the area for any three points on the surface?
  • Is there a symbolic evaluation for three generic points (a,b,c), (d,e,f), and (g,h,k)?

 

Here is a 3D model in Creo 9 of the sphere and points:

image

 

Find the Mathcad Community Challenge Guidelines here!

 

Edit: the coordinates of the second point were incorrect. Wildly incorrect. I have no idea how I wrote down the wrong numbers.

11 replies

18-Opal
July 4, 2022

Are the numbers correct?  I thought that the length of the vector for all three should be 10??

image

 

16-Pearl
July 5, 2022

You are correct. The second point should be (-4.018, -3.703, 8.375). I have no idea why I had written down the y- and z- values so far off.

21-Topaz II
July 4, 2022

Hi,

Thought I would get the ball rolling.

The coordinates supplied for three points on the sphere are correct the origin of the sphere is not at 0,0,0.

 

Enclosed is my solution and 3D model checking of the procedure to calculate the area.

Fulfilled the first option with a program that solves for area given three points on the sphere and a radius.

Used the program in some test cases.

 

Cheers

Terry

21-Topaz II
July 5, 2022

Hi,

Spotted a couple of things so would like to repost solution.

Cheers

Terry

21-Topaz II
July 5, 2022

Hi,

 

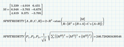
The second optional part of the challenge was to get the spherical triangular area in terms of a,b,c,d,e,f,g,h,k being the nine xyz coordinates of the three definition points.

Here it is using an alternative to Girard's Theorem called L'Huilier's Theorem that is easier to apply.

It is a long definition so needs to be seen in draft mode.

 

Cheers

Terry

16-Pearl
July 5, 2022

As people realized, I wrote down the values for the second point incorrectly. The sphere has a radius of 10 and is centered at the origin. The original post has been edited to contain the correct coordinates. Thanks for catching my mistake.

For verification, I have attached the original model that I used to construct the problem. I believe I created in Creo 9.

21-Topaz II
July 5, 2022

Hi,

Having the sphere at the origin simplifies solution. 

Solved by Girard's and L'Hilier's theorems.

 

Cheers

Terry

18-Opal
July 5, 2022

As pointed out by Terry - still works with the original data but the center is as follows:

image

 

 

image

 

18-Opal
July 12, 2022

The equation cleaned up a bit.

 

18-Opal
July 18, 2022

FINAL - No more.

Compacted.

image

 

18-Opal
July 20, 2022

To myself:

or maybe this looks better?

image

 

18-Opal
July 25, 2022

or

image

 

3-Newcomer
July 20, 2022

227 units-squared.  Not sure if I'm using the Spherical Trig correctly.  -Johan Eppinga

 

 

 

DJNewman
18-Opal
July 27, 2022

Quick reminder to everyone that July (and this challenge) ends soon!

PTC Marketer for Creo and Mathcad. I run their YouTube channels, some Creo campaigns, and all Mathcad campaigns and communications.
1-Visitor
August 7, 2022
18-Opal
August 7, 2022

Excellent. But with the lack of comments it looks like:

 

https://www.ncbi.nlm.nih.gov/pmc/articles/PMC1311997/pdf/jaba00061-0143a.pdf

 

DJNewman
18-Opal
August 8, 2022

Oh my gosh, that's the first time I've seen that, so I was laughing out loud.

 

Anyway, @OH_10381595 , welcome to the PTC Community and thanks for your contribution. July has passed, but we still appreciate your participation.

That said, Mathcad Prime has a lot of documentation features, and per the challenge guidelines, following along with your worksheet would be more of a pleasure if you incorporated some of them, like text boxes.

PTC Marketer for Creo and Mathcad. I run their YouTube channels, some Creo campaigns, and all Mathcad campaigns and communications.
1-Visitor
August 8, 2022

Some of the elements building up to calculation of the area can be useful too. Here is a version that shows those details.