Mathcad Community Challenge May 2022 - An Isoperimetric Geometry Problem
The first two challenges were biased towards mechanical engineering. May’s challenge pertains to geometry.
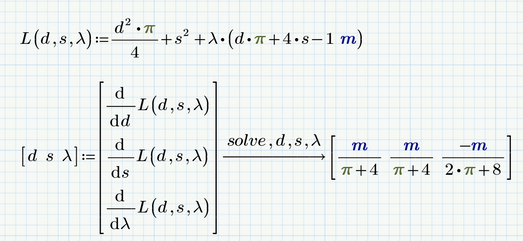
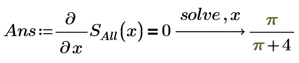
Create a worksheet in which you calculate (1) the diameter of a circle and (2) the length of a side of a square that yields the minimum combined area for a combined perimeter of 1 meter.
This is an optimization problem. What tools within Mathcad can provide you with a result?
Optional: How can you depict the results? Can you use a 2D plot or Chart Component to visualize the answer?
Find the Mathcad Community Challenge Guidelines here!

