Solved
Using the if statement
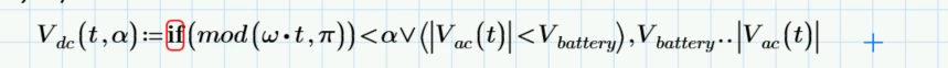
I'm trying to type this conditional statement and I don't know how to. Could someone please help me type this function?
I need a comma after V-battery and then an absolute value before the closing bracket, and PTC doesn't let me type that.



