Question
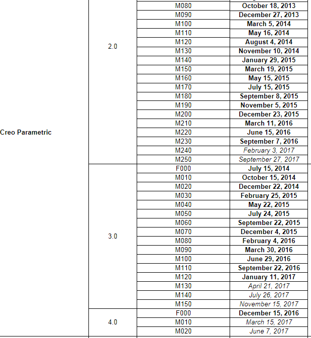
CREO 4.0 M020 to be released in June 2017..soo late
CREO 4.0 M020 to be released in June 2017..soo late
CREO 4.0 M020 to be released in June 2017..soo late
Enter your E-mail address. We'll send you an e-mail with instructions to reset your password.