Symbolic solver unit conversion with further substitution
- December 16, 2025
- 1 reply
- 2735 views
Dear PTC Mathcad Community,
I want to ask for clarification on the behaviour of units and symbolic substitution in Mathcad Prime (similar topics have already been raised, but I still haven't found an appropriate answer for my issue).
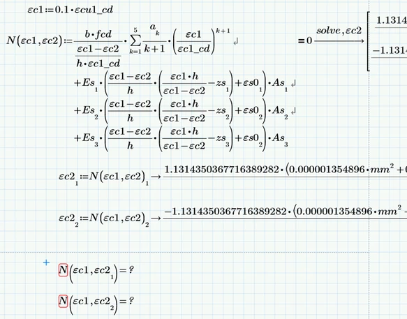
So I try to find a symbolic expression for epsilon_c2, which is a parameter of the equation N.
Solver succeeded with the issue, but with incompatible units (see picture)

So, I have tried to find out the solution in the community, but the advice of

So my issues are:
1. How to make the symbolic solving more "seamless" with appropriate units' manipulation in the solutions?
2. Why does Mathcad not see the assigned values of the epsilon_c2 obtained in the previous solution?

After some time, when the file has been refreshed, some magic happened, and now I can use the roots of epsilon c1 and c2 in a "normal" manner.

But the next issue is that it doesn't let me substitute the obtained symbolic solution into the following step calculation for the moment M calculation.

As it can be seen, the factual equation is real, with proper units,
Nevertheless, Mathcad is still not satisfied with...
I am still convinced of Mathcad's power, but each time I get stuck with such a misunderstanding of Mathcad logic, I feel broken, exhausted and unable to continue to the next step - automation of my manual solution.
Any clarification, examples, or references to documentation would be greatly appreciated.
I am trying to align my workflow with my Mathcad Prime 10.0.0.0 internal logic rather than fight against it.
Thank you very much for your time and support.
The file with the manual calculation of M is attached.



