1-Visitor
April 28, 2013
Solved
Again else If statements
- April 28, 2013
- 2 replies
- 13695 views
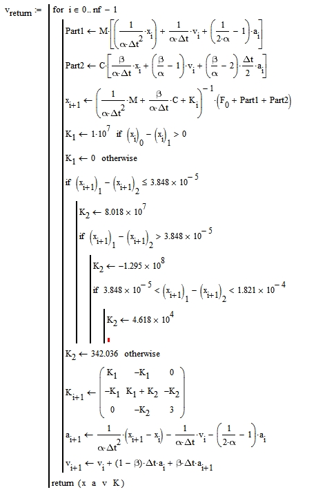
Hi everyone, I don't know what's happening to me, but when I think I know how Mathcad works, I'm not able to do a simple thing.
Mi problem today it's that I'm trying to do an "else if" statement but again, for some reason I cannot figure out how to program it. I've searched through the forum but I don't know how to fill the part that is missing (see image)

Again, if someone could give me a hand with this (I'm going crazy) I would appreciate.
Thx in advance.


