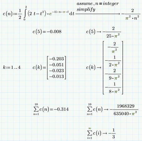
The "assume" modifier in Mathcads symbolic is quite weak and ever so often does not do what we expect.
But in your case it should work OK and actually it does for me. I tried with Prime 6 where PTC introduced a new symbolic engine and found that both, the old and the new engine, can successfully simplify your expression.
As you can see in the picture, the old engine needs to be told to simplify the result.
Its hard to debug just a picture so I can say what went wrong when you tried it. I would advice that you always attach your worksheet with your question and also state, which version of Prime you are using.
Did you try using a fresh worksheet without any definitions and calculations done above? Maybe something you assigned earlier (n?) is responsible for the error.
Here is the screenshot from Prime 6 using the new and also the old symbolic engine:

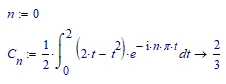
BTW, I would suggest to turn c.n into a function by typing c(n):=.... so you can use it in further calculations with variable values of n.
EDIT: I overlooked at first glance hat you wrote a boolean equal sign and not an assignment. But I just gave it a try and it still worked OK, so thats not the cause for the error.