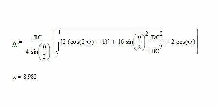
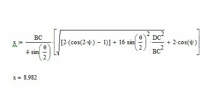
Solved
Best solution in Mathcad needed!


No answer - that's a pity!
But no matter - anyway, to conclude for what ever it may be worth, here is a small animation made a few days ago, which shows the position of the possible solutions for P and the graphs of the distance functions at variable distance CD.
have fun!

Enter your E-mail address. We'll send you an e-mail with instructions to reset your password.