Calculate the deflection of a column/beam
Hi
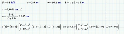
I want to calculate the deflection along a column (or a stand-up beam) subjected to a lateral point load. The column is fixed at both ends, A and B, and the load P is acting at a distance a from the top. I know that I can easily calculate the deflection at the point of action (P), however I don't know how to determine the deflection at an arbitrary position away from P, lets say L/2. If somebody can bring some knowledge to this, I'll be very thankful 🙂



