Skip to main content
Best answer by MJG

The red point is the geometric median‌.

8 replies

24-Ruby IV
April 3, 2017
23-Emerald I
April 3, 2017

Where did you learn that the center of gravity was y = 0.5?

1-Visitor
April 3, 2017

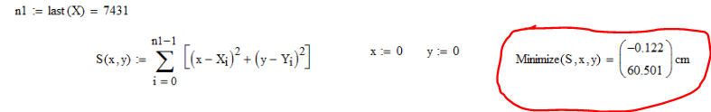
y:=0.5m was just his guess value for the subsequent Minimize function.

We are all in agreement that the center of mass is at y=61cm.

What is the red point?  As defined by the equation, it is the point with the shortest distance to the mass.  If it has a name, I don't know it.

23-Emerald I
April 3, 2017

Okay, sorry, didn't read carefully.

But when I do the same thing:

So I don't see where 74.883 came from.

23-Emerald IV
April 3, 2017

Does this help?

If you change the 'thickness' of the semi-circle, the amount of points with y above y1 doesn't change as much as y1.

Extreme example:

Luc

1-Visitor
April 3, 2017

Luc,

The way you have defined the data points, there are more near the inside radius than the outside radius.  This is especially visible in your last graph.

Valery's setup made the points uniformly distributed throughout the whole area.

This will skew some of your calculations.

23-Emerald IV
April 3, 2017

Mark,

I agree.

Luc

MJG1-VisitorAnswer
1-Visitor
April 3, 2017

The red point is the geometric median‌.

24-Ruby IV
April 4, 2017

Mark Gase написал(а):

The red point is the geometric median.

We must check in on one triangle with three medians!

24-Ruby IV
April 5, 2017

I think the geometric median and the center of gravity must be one point .

Why?

See please two method of the searching this point:

1-Wiki.png

hand.png

But we have by using our (Monte-Carlo) method;

Points-Blue-Red.png

24-Ruby IV
April 4, 2017

Center of Gravity... 4D-body

4D-Center-Mass.png

24-Ruby IV
April 5, 2017

Two pictures and sheets for thinking!

Three points! Why?

3-points.png

One point!

1-Center.png

24-Ruby IV
April 6, 2017

Mark and all!

Is this correct center of gravity 3D body?

Fig-5-3D-Center-Mass.png

23-Emerald I
April 6, 2017

Yes, those are the coordinates of your CG.  But why are you working so hard?  The simple mean gives you more accurate answers:

24-Ruby IV
April 7, 2017

Fred Kohlhepp написал(а):

Yes, those are the coordinates of your CG.  But why are you working so hard?  The simple mean gives you more accurate answers:

Why so hard? We can calculate CG of plate with not constant density - one part is wood, the second - iron!

24-Ruby IV
April 8, 2017
24-Ruby IV
April 9, 2017

Our method of searching the center of gravity (mass) has a name Pointillism - Wikipedia