Skip to main content
1-Visitor
April 28, 2014
Question

Differential equation

  • April 28, 2014
  • 2 replies
  • 3847 views

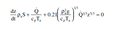
Hi. I would like to find z from the differential equation below as a function of time. Can anyone help me with this? All the other terms are constant. I would really appreciate some help as I am new to mathcad. Thank you in advance.

Capture.PNG

2 replies

19-Tanzanite
April 28, 2014

Here's an example. The attached is in MC15 format. In case you aren't using MC15 I've inserted an image below (if you're using Prime you don't need Given, you put the ode inside a solve block). Obviously, you will need to replace the data with your own!

ode1.PNG

Alan

1-Visitor
April 28, 2014

Hi thank you for the quick answer. This is very helpful. However i need to compute z for a time interval of 1680 seconds. And if i do this, the graphic does not compute anything. Could you tell em what is wrong?

I have attached the file as well.

23-Emerald I
April 28, 2014

Don't know why Odesolve is crashing; but the older versions still work.

1-Visitor
April 28, 2014

Q represents the heat release and is given in kW, therfore cp should be in kJ. If i use cp=1000 i get values that are very high, which means that i have a smoke filling in a compartment of hundreds of meters. Which practically seems impossible. I have attached a small pdf if somebody is curious to see where the equation comes from. I assume the equation only works for a weak heat release rate. That is a low Q.

Thank you all for trying to help. I really appreciate it.

19-Tanzanite
April 28, 2014

Marton Timea wrote:

Q represents the heat release and is given in kW, therfore cp should be in kJ.

In that case you have over 4MW of heat going in to your compartment. Perhaps this leads to a rapid pressure rise such that the approximation of dropping the first term in equation 8.30 is no longer valid.

Alan