Differential Equations. Solution Interval and linear dependence.
Hello everybody.
I have a general question:
How do I define the solution interval for the simple first/second order DE?
Example:
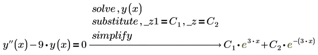
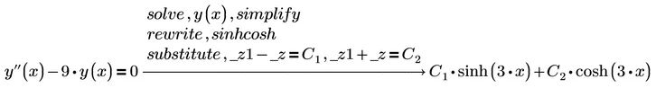
The DE y**-9y = 0, has two solutions: y1=e^3x and y2=e^(-3x). How do I define the solution interval here?
I need merely a simple explanation of how to proceed in order to find the solution interval (in general also).
Linear independence:
Question: What does it mean for the "real" world? What do we get by knowing that the solutions of a given DE is linearly dependent or independent?
Best regards,
Sergey










