Solved
Equation for calculating CoG of members of a stack
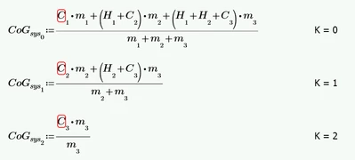
Hi, I want to calculate the center of gravity of all parts above various cross sections (k0, k1 & k2). So in the picture below, I calculate the center of gravity of m1, m2 and m3 at cross section k0. The next row would be to calculate the COG of m2 and m3 at k1 - and so on.
I would like to express this with a simple equation. Would appreciate any help.



