Skip to main content
1-Visitor
July 14, 2020
Solved

Equation Wrapping

  • July 14, 2020
  • 2 replies
  • 3886 views

Someone else posed the question, "how do you get the equation to wrap down to the left margin when writing long equations" and I have the same problem. Someone answers "ctrl" + "enter" but that doesn't work for me and I'm not sure if it is because of my version. If I press "ctrl" + "enter" it just highlights the rest of the equation. I have MathCAD express prime 6 if that matters.

Best answer by LucMeekes

Yes, it matters.

This 'Premium feature' is not available in Prime Express. You'll have to throw money in the pit to obtain a full license of Prime.

 

Success!
luc

2 replies

LucMeekes23-Emerald IVAnswer
23-Emerald IV
July 14, 2020

Yes, it matters.

This 'Premium feature' is not available in Prime Express. You'll have to throw money in the pit to obtain a full license of Prime.

 

Success!
luc

trip123451-VisitorAuthor
1-Visitor
July 14, 2020

That's what my gut was telling me but I hoped it wasn't true. Oh well, I'll just continue writing with the poor word wrap.

23-Emerald I
July 14, 2020

A lot of the "premium features" don't make a lot of sense, and it's possible to write work-arounds for some of the premium functions.

 

If your long equation almost fits on the page you might consider reducing the font size in either the whole document or just that equation (math formatting.)

23-Emerald IV
July 14, 2020

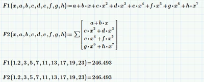
Of course, if you're desperate, you can always call the help of good-old sigma:

LucMeekes_0-1594759898757.png

(Sure, there's a far more simple method to define this function, but the above is an example of how you can get verticality to a horizontal function.

LucMeekes_1-1594760016804.png

)

 

Success!
Luc