How can I use the newline equal sign just like a handwritten derivation process

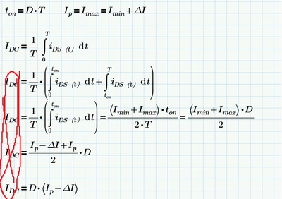
I hope I can write the derivation process of a formula, like this
IDC = xxxxxxxxxxxxxxxxxxxxxxxx
= xxxxxxxxxxxxxxxxxxxx
= xxxxxxxxxxxxxxxx

I hope I can write the derivation process of a formula, like this
IDC = xxxxxxxxxxxxxxxxxxxxxxxx
= xxxxxxxxxxxxxxxxxxxx
= xxxxxxxxxxxxxxxx
>
Prime is not an equation editor like you have available in word processors, so it lacks formatting capabilities like the one you are looking for.
Prime is made for doing Math on its own and less for displaying what you did manually.
The line breaks therefore are only available for the four basic arithmetic operations, not a boolean/comparison equal.
The fat Boolean equal you are using is meant to compare LHS and RHS and evaluate to 0 or 1 resp. but it can be misused to show a formula used for subsequent calculations (in real Mathcad = MC15 and below this fat equal sign could also be edited to look like a normal one, in Prime that's not possible to do).
So at the time being you can only hope for a suitable workaround and you will have to use separate math regions (which you may put inside one larger text region) and not just one.
You could try to use something less obvious on the left hand side of the second and the subsequent regions like a variable name consisting of, lets say, three dots.
And before you ask - no, Prime does not allow variable names with (invisible) spaces.
But you may look for other characters which may better suits your needs


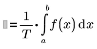
Of course you could also leave the LHS empty and Prime will show a light gray rectangle as placeholder

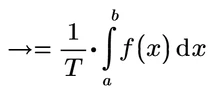
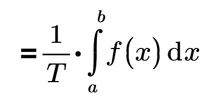
You may also replace the fat equal by a normal one
Here the variable name consists of the arrow AND the normal equal character and is followed by an implicit (invisible) multiplication (Ctrl-Shift-U) which PTC calls the 'scaling operator'. You will also find that operator in the "Operators" menu, section "Engineering".
Next problem will be to vertically align all equal characters. Guess it will be hard to position the subsequent regions so that the position the first region equal will line up.
BTW, you create a variable name using an unusual character by starting with double quotes as if creating a string
insert the character(s) either by typing or from charmap
and after the last character type DEL to delete the quotes

Spaces are not allowed - Prime would refuse to delete the quotes if you use spaces.
A workaround which is not recommended:
You can change the color of the rectangle which Prime uses for placeholders.
Open the undocumented properties menu by Pressing the four keys Ctrl-Shift-Alt-Q at the same time and change the color of "ScopeColor" to "Transparent".

So by letting the LHS of a Boolean comparison empty it now looks like

but it also affect other placeholders like the ones you see when you create a multiplication.
So I won't suggest fiddling around with these properties. After all its not documented and can be changed without notice in future versions.
Enter your E-mail address. We'll send you an e-mail with instructions to reset your password.