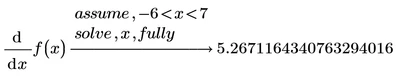
You could do as Luc suggested, but the symbolic engine (or its interface) is not capable enough to give you all needed solutions. "assume" and "fully" are ignored and just one solution is returned.

It should work that way, but only does for simpler functions where Primes symbolic has not to switch to its float mode.
EDIT: It works for simpler functions, but we should omit "fully"!

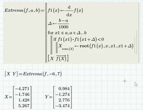
So in your case you may resort to numeric methods like the "root" function:

You may also try a utility function like the one below, but it sure won't work for all type of functions.

To distinguish between maxima and minima, the second derivative can be used:

Attached file is in P9 format
Enter your E-mail address. We'll send you an e-mail with instructions to reset your password.





