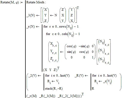
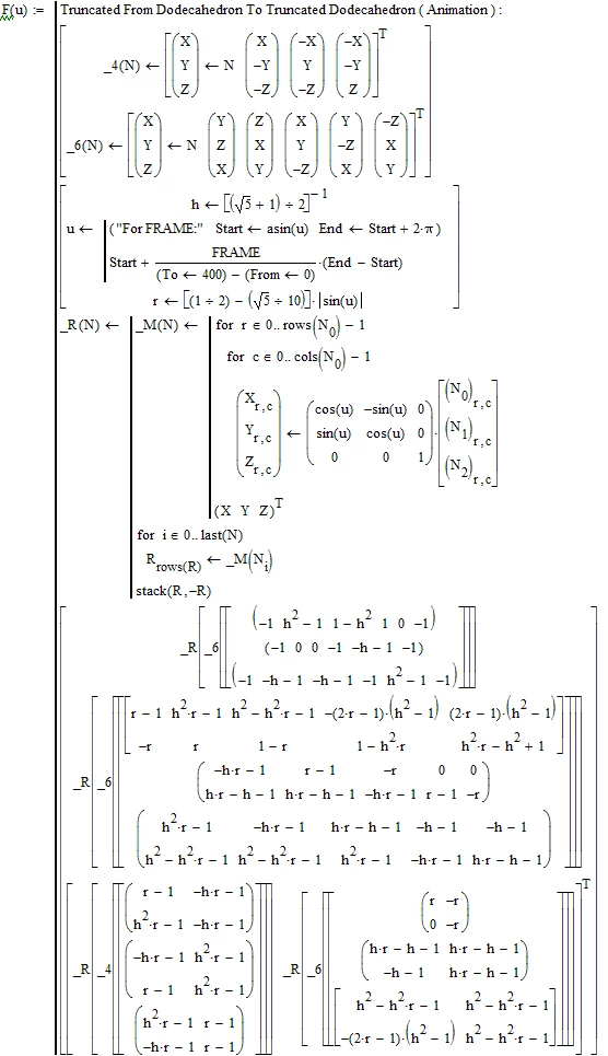
Question
How to plot a point in 3-D and Rotation of the point ?
Hello Everyone.
From :
To : 1. How to plot a point in 3-D and :
2. Rotation of that point a angle t (say, = Pi/2) about X-axis ?
Thanks in advance for your time and help.
Regards.

