Question
How to set the condition for two variables in solving symbolic equations
- October 27, 2015
- 3 replies
- 4005 views
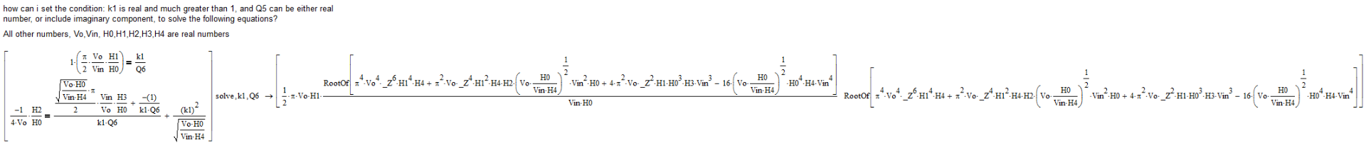
Hi All, I have a two equations to solve and want to get the symbolic expressions of two variables. One of my variable k1 is a real number and assumed to be much larger than 1. Another variable Q6 can be either real number or have imaginary component.
If no condition provided, it is a much higher order equations for k1 and Mathcad returned no solution. How can I set the conditions to "filter out" the unqualified solutions and get what I want? The worksheet is attached. Thank you!
