Solved
limit problem in mathcad 15
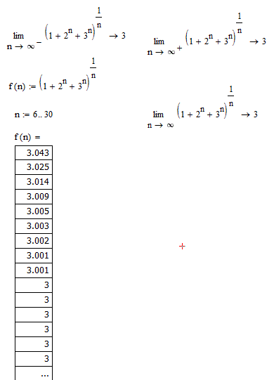
I use mathcad 15 M020 to quest the limitation of:
(1+2^n+3^n)^(1/n), n-->infinity
and the answer should be 3, but in mathcad it seem can not calculate it.
and I try it on the Prime M010, false too.
Why? and How should I solve this problem?
My pc system is Win7 ultimate.


