Solved
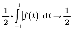
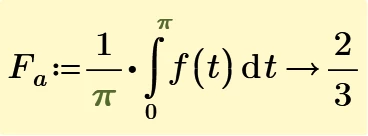
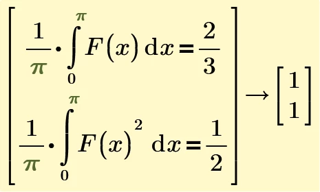
Make equivarent sine waveform that has maximum value = 1 and RMS = 1/sqrt(2).
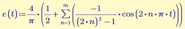
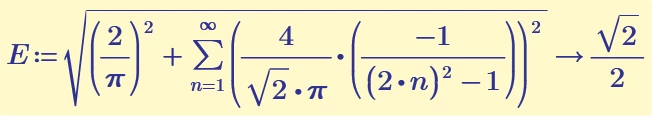
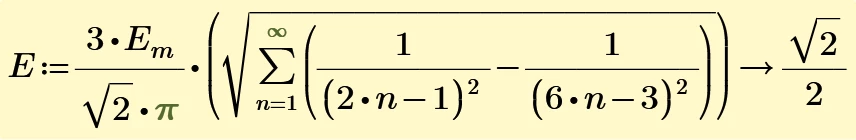
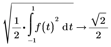
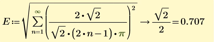
Show another waveform that is equivalent to a sine wave with a maximum value of 1 and an effective value of 1/sqrt(2), and find its Fourier series so that the effective value of the Fourier series is 1/sqrt(2).
Below is an exsample of the answers.






