1-Visitor
March 26, 2012
Solved
Mass balance problem. I'm not seeing what's wrong here.
- March 26, 2012
- 3 replies
- 3310 views
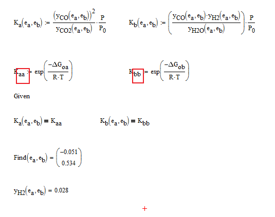
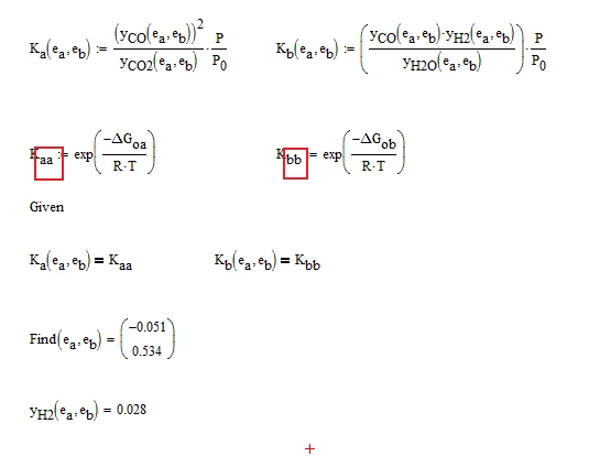
Hey. So this probably has a straightforward answer, but for some reason I can't seem to see what my problem is. I have everything in the right order for the solve block. But whenever I type in the K.a(e.a,e.b) after given, it tells me somethings up with my function.
There are a lot of annotations to this problem, its just how I like to do it. The real problem is at the bottom half.

