Mathcad Community Challenge March 2024 - Perimeter of an Ellipse
I am shocked that I have walked the surface of this planet for over 5 decades without realizing that there is no exact closed-form solution for the perimeter of an ellipse. In school, we learn the perimeter of shapes like triangles, squares, rectangles, circles, parallelograms, and so on, but I feel like schools and teachers conveniently skipped over ellipses.
(An ellipse, in case it’s been a while, is the set of points where the sum of the distances from two points – the foci – is a constant.)

Your challenge, should you choose to accept it, is to correct that oversight. Create a Mathcad worksheet that:
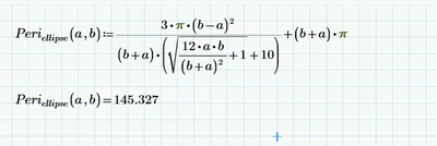
- Derives, depicts, or shows one (or more) of the various approximation formulas / methods for the perimeter of an ellipse.
- Create a calculator whereby someone can change the values of the semi-major and semi-minor axis lengths in order to find the perimeter.
- Create a 3D plot of the perimeter as a function of the ellipse semi-major and semi-minor axis lengths.
Although there is no exact solution for the perimeter of an ellipse, this is a fairly well-documented problem. Therefore, your documentation in your worksheet is key! This worksheet should be able to stand on its own and be understood by someone with a basic knowledge of calculus (since integrals and infinite series are involved).
Good luck and have fun!
Find the Mathcad Community Challenge Guidelines here!

