Skip to main content
24-Ruby IV
June 18, 2022
Question

Mathcad vs SMath

  • June 18, 2022
  • 48 replies
  • 61457 views

Our Mathcad Community forum has an Ideas section. They don't let me in there for political reasons. Thank God they're still allowed in here.
The best idea for Mathad is to take all the good things from SMath.
I will post pictures here describing some of the benefits of SMath over Mathad.
I ask those who have access to the Ideas section to transfer my drawings there.

48 replies

24-Ruby IV
June 18, 2022

1. Range is Vector.

Fig-3-3.png

23-Emerald IV
June 20, 2022

This idea is already implemented, albeit as an undocumented feature:

LucMeekes_0-1655722699619.png

Luc

24-Ruby IV
June 20, 2022

What version of Prime?

V-V.png

 

24-Ruby IV
June 18, 2022

2. No <- for a local variable. Only :=.

Fig-3-M.png

24-Ruby IV
June 18, 2022

3. Two variant of the for cycle

Fig-3-M.png

 

24-Ruby IV
June 18, 2022

4. Dynamic help when I unsert variable, function or operator

Fig-2-2.pngFig-2-4.pngFig-3-2.png

10-Marble
July 12, 2022

Definitely this is something that Mathcad must implement, it is much more comfortable to read directly how the tools are used, in addition, the current descriptions that mathcad uses are really poor if not terrible

24-Ruby IV
June 18, 2022

5. Dynamic information near plot points

STP.gif

10-Marble
July 12, 2022

Yes, it is something that Mathcad should incorporate, I am a civil engineer and this resource is quite useful for the study of influence lines in beams

24-Ruby IV
June 18, 2022

6. Area in Area

Fig-6-Plot.png

24-Ruby IV
July 16, 2022

But!!!

SMath-Mad.png

24-Ruby IV
June 18, 2022

7. Number format: digits after point an common number of not 0 digits

Format.png

24-Ruby IV
June 18, 2022

8. Two clicks for labguage chang

Labguages.png 

24-Ruby IV
June 18, 2022

9. Create exe file

Exe.png

24-Ruby IV
June 19, 2022

10. 7 not 6 boolean operators.

Bool.png

24-Ruby IV
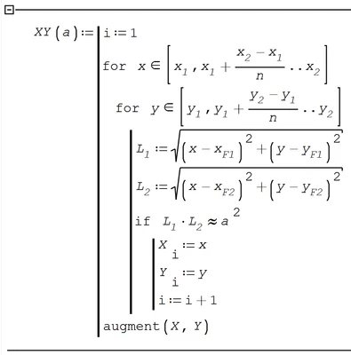
June 20, 2022

All my conscious life I dreamed that an operator would appear in the programs approximately equally. Such a program finally appeared, but not in Mathcad, but in SMath (version dated June 20, 2022).

Here is the only program in the world where the built-in operator is used, and not the user-defined operator is approximately the same!

Fig-6.pngFig-7.png

13-Aquamarine
June 28, 2022

Expandability.

Mathcad Block. rkfixed.jpg

 X-Y Plot. Cassini oval.jpg