Solved
Maximum Value from Tables/Arrays
Hello,
I am having difficulty applying the solution here:
https://community.ptc.com/t5/Mathcad/Maximum-Value-from-Tables/td-p/999431
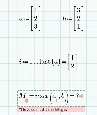
I have set-up a minimum example here with two arrays. When I try to get the maximum, an error is caused by the range variable i, "This value must be an integer".

I am using PTC Prime 9.
Appreciate your help!

