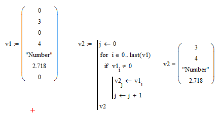
Populating a matrix with a programming loop.
- December 20, 2011
- 1 reply
- 8370 views
Hello everyone,
I'm severely new to Mathcad and I am trying to use the programming toolbar to clean up my worksheet.
Currently I have a large matrix full of chemical property data and I want to extract some of that data into a new matrix based on combo boxes. I'm not up to the level of scripting combo box or listbox behavior yet, so I was trying the following workaround.
Data = The large matrix that has mountains of data.
Species(i) = The column number that corresponds to the correct data. If no chemical species was selected Species(i) = "None"
Test = New matrix that I would like to create with just the extracted data from the larger matrix.
See attached for a screenshot of the command. Is there something wrong with my syntax? Can I not use the subscripts in that way?


