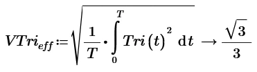
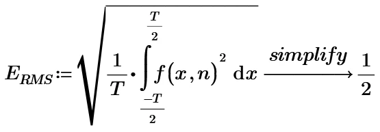
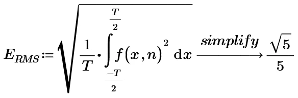
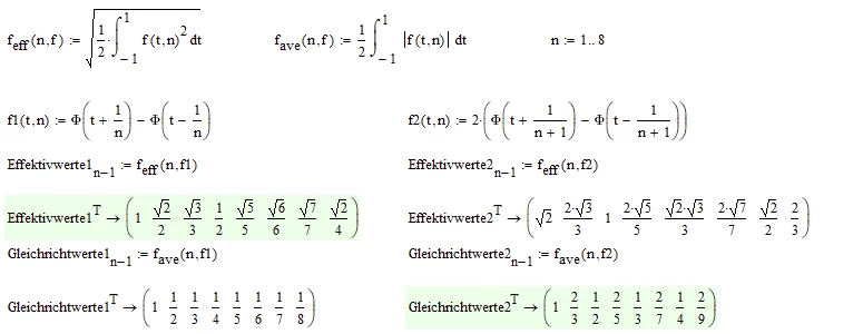
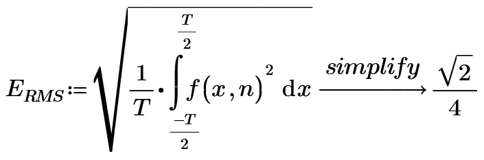
RMS values of the functions.
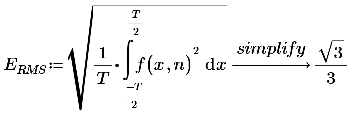
Electrical engneering uses RMS(Root Mean Square) values for the signal wave forms.
Using the magnitude of the waveforms to be 1, rectangilar , sine and triangle waveforms show the RMS values 1/sqrt(1), 1/sqrt(2) and s1/qrt(3), respectively.
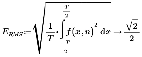
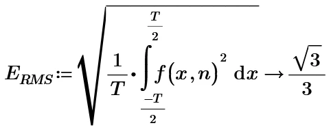
So, find the 1/sqrt(4) and 1/sqrt(5) RMS waveforms with magnitudes = 1.




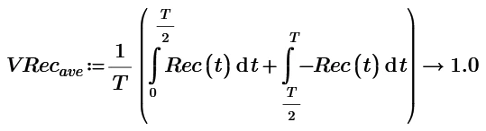
Also find the average values of each wavefrom.



Advanced problem.
Make the f(x,n). It provides the above answers.
















