Solved
So have you found the correct equation to solve?
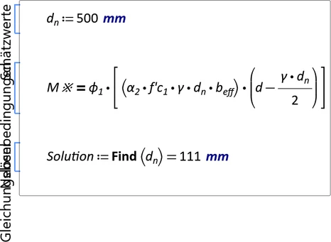
If its the second attempt of the above two suggestions you have to consider that there is a second solution at about 1123 mm.
Enter your E-mail address. We'll send you an e-mail with instructions to reset your password.

