Welcome to the forum.
The symbolic solver does not 'know units'. It will allow them, but treat them as unknown variables, at best.
In general you are better off first solving whatever problem you have symbolically, WITHOUT entering any values. Symbolically, means: using only symbols (as much as possible).
The symbolic solution will give you an expression, if you're smart you make it result in a function.
Now in that function, you can enter your numbers, including units, if you want.
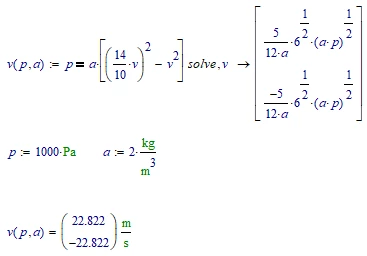
Example:

Note that I entered the 1.4 as 14/10, that is to prevent the symbolic solver to go into floating mode, at which it will give numbers with ridiculously many digits.
(Where I said, you shouldn't use numbers, you can use integer values. But 'real' numbers, those with a point, should be avoided/replaced by symbols, pi and e are also known values to the symbolic solver.)
I guess the factor 1.4 is a parameter of some kind, then there should be a symbol for it. If by chance it is your approximation of the square root of two, it should be entered as the square root of two. Think of it this way: the symbolic solver knows mathematics, but not physics. And of course, mathematic rules state that the square root of 4 is 2, ... or -2 !)
Since your expression is quadratic, you get two (possible) solutions for every input. You may be able to bring that down to one, by adding assumptions. Maybe an "assume, v=positive" added to the solve command does the trick for you. Look up 'assume' in the help to see how to use it.
Success!
Luc