Skip to main content
10-Marble
January 19, 2016
Question

Symbolic 2nd order ODEs using Prime 3.1?

  • January 19, 2016
  • 1 reply
  • 3173 views

I am not sure if my syntax is correct but for some reason Mathcad Prime 3.1 will not solve the following simple 2nd order ODE symbolically. The ODE has this form v''(x) + v(x) = 0 which i believe is the same form solved by Euler. This equation is used to calculate the column buckling equation used by structural engineers. it would be disappointing to learn that math done more than 250 years ago still cannot be computed by the latest version of Mathcad. I would find it hard to believe that MuPad symbolic engine dosen't have such functionality? Is there some hidden software switch in Mathcad to enable full symbolic capability? Or maybe someone could show me a workaround. I am just interested to see if Mathcad gets the same result as in the text book. Mathematica certainly gives an unreconisable form of answer, to me at least when done by hand.

Thank you in advance Mark

1 reply

24-Ruby IV
January 19, 2016

Maple

Mathematica

10-Marble
January 19, 2016

Hi Valery,

Thank you, yes I agree that Maple and Wolfram Alpha give the correct result. However, Mathematica gives the result in non-standard exponential terms. The question however was - is it possible to produce this result symbolically with Mathcad Prime 3.1 or 3? If not then the adoption of the MuPad symbolic math engine was a disastrous mistake by PTC, in my opinion, especially since Matlab now owns that technology. They would be better served by using Wolfram Alpha's API.

Regards, Mark

1-Visitor
January 19, 2016

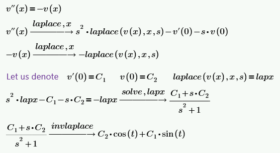
For example, we can apply the Laplace transform (in certain cases, however)

DE_laplace.png

Viktor.