symbolic evaluation in prime 11.0.1.0
Hello,
I have tried to upload the mathcad file, but it does not allow me. The following was working in mathcad 15, but it does not evaluate in prime

Thanks,
Sam
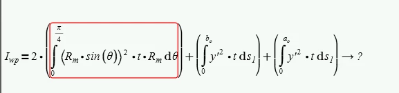
Hello,
I have tried to upload the mathcad file, but it does not allow me. The following was working in mathcad 15, but it does not evaluate in prime

Thanks,
Sam
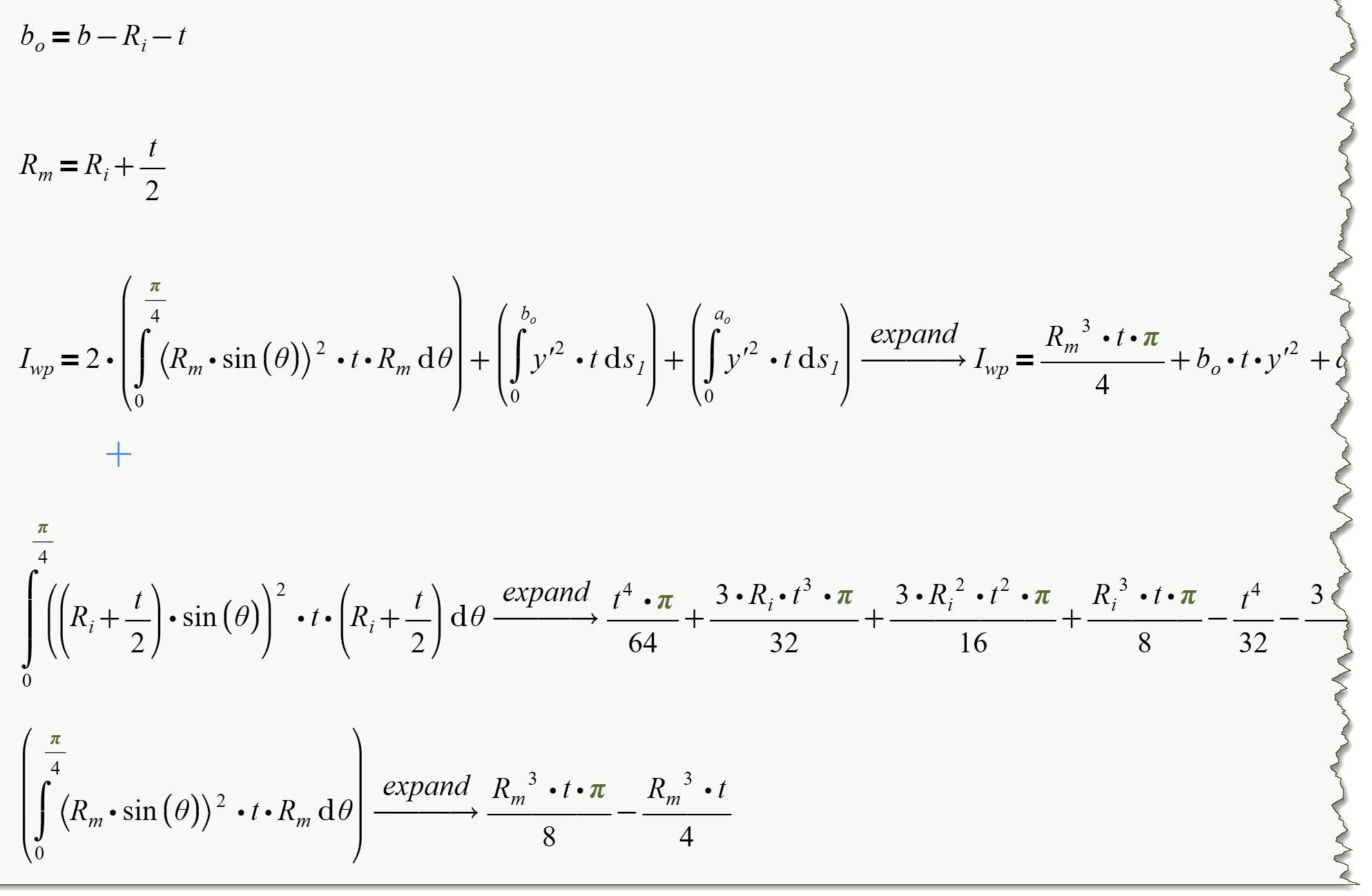
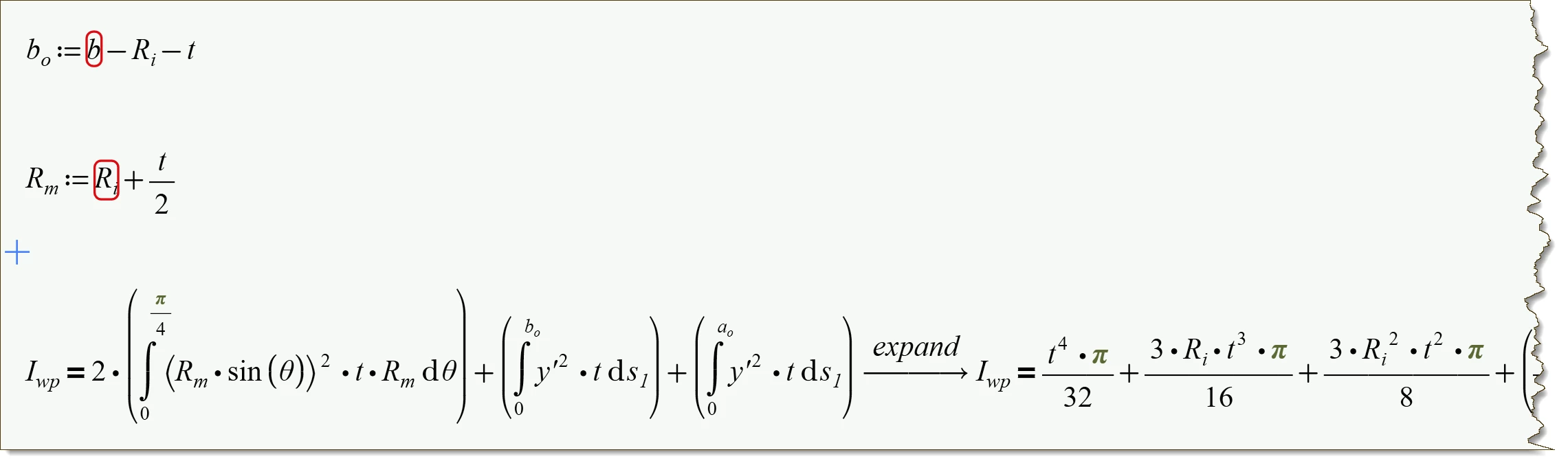
I am not sure what the problem was, but I see when I load your file that you experienced a “variable not defined” error.
But when I simply let your sheet recalculate (Ctrl+F5) the symbolic evaluations work as expected:

The two substitutions are not taken into account because you used the Boolean comparison operator instead of an assignment/definition.
If you use the assignment operator, you will receive error messages, but these come from the numerical engine in Prime; the symbolic evaluation, however, works as expected.

Or perhaps you actually intended to use the assignment operator in the symbolic evaluation as well? Also For example Iwp := 2*… .
Enter your E-mail address. We'll send you an e-mail with instructions to reset your password.