Solved
symbolic simplification usage
Hi

I have this worksheet.
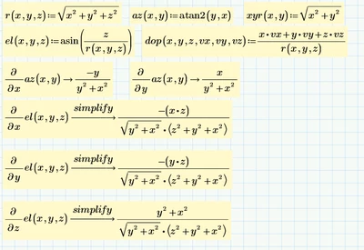
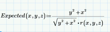
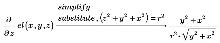
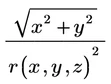
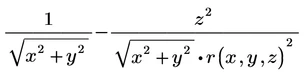
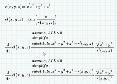
I want to simplify the last equation that they will use r, for example, the last equation needs to see like this:

how can I do that?
Hi

I have this worksheet.
I want to simplify the last equation that they will use r, for example, the last equation needs to see like this:

how can I do that?
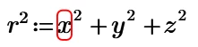
r2 is not r^2 but using superscript font 2.
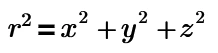
So, we can define,

Enter your E-mail address. We'll send you an e-mail with instructions to reset your password.