The goat problem
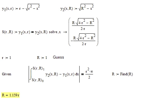
Imagine a circular fence that encloses one acre of grass. If you tie a goat to the inside of the fence, how long a rope do you need to allow the animal access to exactly half an acre?
Imagine a circular fence that encloses one acre of grass. If you tie a goat to the inside of the fence, how long a rope do you need to allow the animal access to exactly half an acre?
I wasn't aware of this new exact solution to the problem - thanks for bringing this to our attention.
Obviously we cannot expect Mathcad to give us the "exact" solution, but it sure is good enough for an approximation:

By the way, the wiki entry for the goat problem has already been supplemented by Ingo Ullisch's closed form solution -> https://en.wikipedia.org/wiki/Goat_problem#Closed-form_solution
Enter your E-mail address. We'll send you an e-mail with instructions to reset your password.