Solved
Trouble with symbolic calculation (integrals) with Prime 8.0
- March 29, 2022
- 5 replies
- 3887 views
I am using Mathcad Prime Release 8.0 and Datecode8.0.0.0
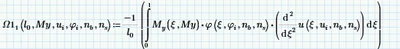
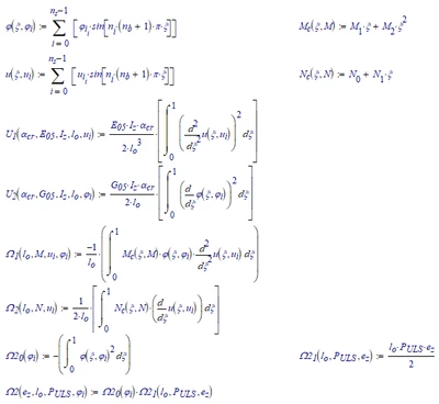
I just moved from Prime 5.0 to 8.0, and some integrals (symbolic calculation with units) no longer calculate: while it tool a couple of minutes only, the orange disk turns infinitely without success.
I'm wondering whether I made a spelling error due to new engine, but I cannot find the solution.

