8-Gravel
February 13, 2026
Question
Using the Symbolic solver
- February 13, 2026
- 3 replies
- 212 views
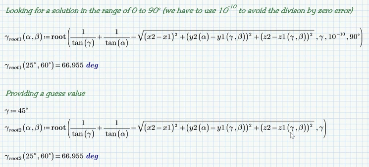
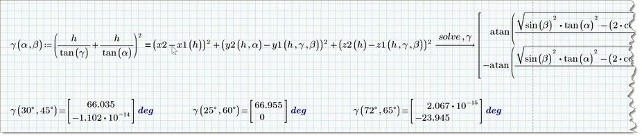
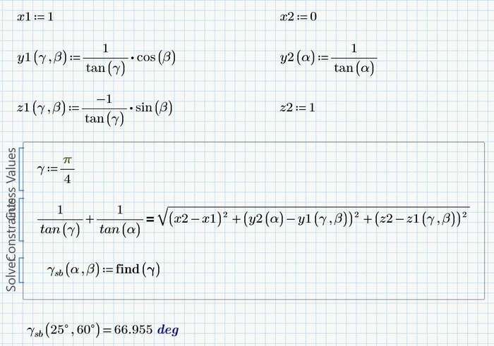
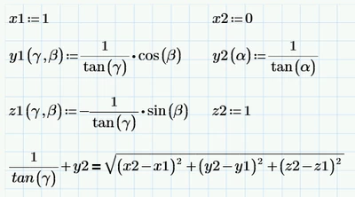
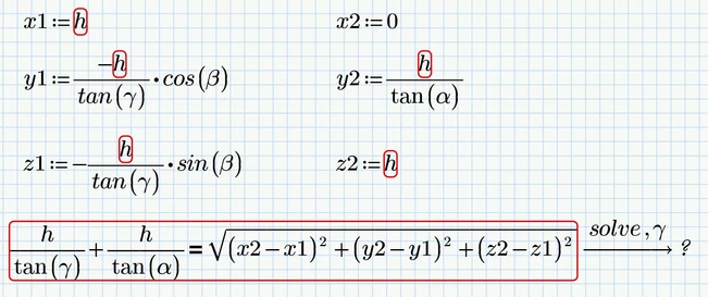
I often struggle to get Mathcad Prime to return symbolic solutions. I suspect I’m missing something in the way I set up or call the symbolic engine, so if anyone can point me to a good tutorial or explanation of best practices, I’d really appreciate it.
I’ve attached a worksheet with the equations. My goal is to obtain a single expression for γ as a function of h, α, and β.
At the moment I either get red evaluation errors or no result from the solver.
Any guidance on what I should change in my setup would be very helpful.
Thanks,
David

