Skip to main content
3-Newcomer
March 20, 2024
Solved

Voltage vs time graph

  • March 20, 2024
  • 5 replies
  • 4719 views

Can anyone provide solution for above problem?

Best answer by ttokoro

image.pngimage.pngimage.png

image.pngimage.pngimage.pngimage.pngimage.png

image.pngimage.pngimage.png

5 replies

1-Visitor
March 20, 2024

The slope of a voltage vs time graph can be calculated by taking the change in voltage (ΔV) divided by the change in time (Δt). This can be represented by the formula: slope = ΔV/Δt.

23-Emerald I
March 20, 2024

You need more information than you've shown.  What changes with time?  How does it change?

3-Newcomer
March 22, 2024

I need to do Monte carlo Analysis of mentioned circuit...I have to generate a matrix with that I have to plot a graph. Vout vs time

Spoiler
 

 

18-Opal
March 22, 2024

 

 

Like this?

ppal_0-1711082144686.png

ttokoro
21-Topaz I
21-Topaz I
March 22, 2024

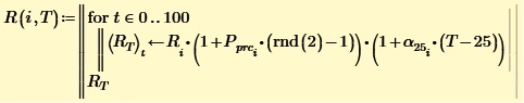
Assume uniform distribution. Not use 100ppm for R1 and R2.

image.pngimage.pngimage.pngimage.pngimage.pngimage.pngimage.png

t.t.
25-Diamond I
March 22, 2024

As I see it, the values of R1 and R2 may be chosen within the tolerance of 5% (maybe normal distributed?) but once chosen, it won't change over time.

The only change over time may occur because of the temperature coefficient of +- 100 ppm/Kelvin.

Its unclear if the input voltage would be allowed to change within its tolerance of 5% over time - guess yes.

Its not clear to me what kind of Montecarlo analysis is asked for and what plot of Vout over time? In my understanding, a plot over time would not use the 5% tolerance of the resistors.

 

ttokoro
21-Topaz I
ttokoro21-Topaz IAnswer
21-Topaz I
April 3, 2024

image.pngimage.pngimage.png

image.pngimage.pngimage.pngimage.pngimage.png

image.pngimage.pngimage.png

t.t.