Question
Dynamics Differential Equation
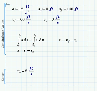
Hello! I am new to the PTC forums, but I had a question regarding how to format a particular differential equation into Mathcad Prime. My equation is: ads=integral(v) dv Below is a screenshot of what I have so far, but it is using my guess value as the solution, when the actual solution is 15.5 ft/s. Any help regarding this formatting would be greatly appreciated guys! Thanks!
ads=integral (v) dv

