Community Tip - Did you get an answer that solved your problem? Please mark it as an Accepted Solution so others with the same problem can find the answer easily. X
Hello,
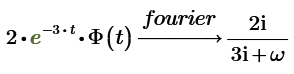
Input:
where
is the step function:
Rewriting the above result:
And calculating fourier transform by definition for the above input, results:
(which is the correct answer)
So, where is the mistake?
The 2 above results should not have been equal?
Mathcad Prime 8 file attached.
Solved! Go to Solution.
I think I discovered where the difference comes from:
So, fourier transform in keyboard has this definition for calculation of fourier transform:
and not
The difference comes from that - sign, as Werner points out in Wolfram Alpha.
Is this definition used by fourier transform from keyword correct?
From what I know the fourier transform is defined in this way:
So, including that - sign.
The mistake is in Prime.
If Mathcad 11 may be the judge:
Chances are this bug has been solved in Prime 9, otherwise/anyway you can/should report this bug to PTC.
Success!
Luc
P.S. this is what Prime 7 produces:
Prime is a work in (sloooow) progress - maybe some day it will get it right.
Once more its clear - when it comes to symbolic math, Mathcad 11 with Maple rules!
BTW, here is Wolfram Alpha
EDIT:
Ahh! Got it!
I was aware of different scaling/normalization in the definitions of the fourier transform, but not of something like this "oscillatory factor"!
As far as I could see there is no definition of the fourier transform mentioned in the Mathcad and Prime help.
Different "oscillatory factors" may be an explanation for Primes results !?
I think I discovered where the difference comes from:
So, fourier transform in keyboard has this definition for calculation of fourier transform:
and not
The difference comes from that - sign, as Werner points out in Wolfram Alpha.
Is this definition used by fourier transform from keyword correct?
From what I know the fourier transform is defined in this way:
So, including that - sign.
Rewriting the above expression:
From what I know the fourier transform is defined in this way:
I am not an expert, but basically this is also the only definition I am aware of.
That was also the reason I was confused about of Wolfram Alphas ""oscillatory factor".
Perhaps Wolframs explanation can help to understand: https://mathworld.wolfram.com/FourierTransform.html
A few years ago a list of all the "defective" calculations of MATHCAD 15 was published in the MATHCAD community. In Prime some have been corrected, but I see that others remain...
